学校主页|官方微博|登陆
科研成果
当前位置: 首页>>科学研究>>科研成果>>正文
研途榜样 2022年研究生国奖获得者科研成果展示(第3期)
2023-03-04 16:36     (点击: )

背景:中国西南地区喀斯特地貌生态环境脆弱,近几十年来受到气候和人类活动的显著影响。植被、LULCGPP的变化影响生物地球化学循环,并且该区域的社会效应影响较大区域范围。必要深入研究植被绿化、LULC和总初级生产力(GPP)的时空变化规律这对生态演化和区域社会发展具有重要影响。然而,地表植被、植被和碳储量的时空特征尚不清楚。因此,利用遥感技术,分析中国西南地区不同土地利用/覆被类型下生长季归一化植被指数(NDVI)GPP的时空变化特征明确中国西南地区LULC、植被和碳储量的时间变化特征。研究结果反映了生态系统的演化过程,有助于指导生态系统平衡和可持续发展的维护措施。

 

成果名称:Temporal Changes in Land Use, Vegetation, and Productivity in

Southwest China (中国西南地区土地利用、植被和生产力的时间变化)

发表期刊:《Land

成果作者:李璇,容丽*,

 

成果简介:该研究基于NDVI数据GPP数据,结合土地利用/覆被数据,分析计算了2000-2019西南地区土地利用/覆被类型下生长季归一化植被指数(NDVI)GPP的时空变化特征并且运用中心转移模型分析了西南地区NDVIGPP2000-2019年间的中心转移方向

 

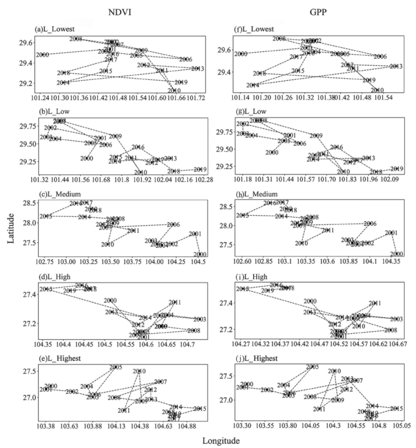
成果发现:(1) 2000-2019年,中国西南地区森林面积呈下降趋势耕地面积增加了2.1%草地面积减少了3.2%5.5%此外,空间变异格局存在显著差异。(2)归一化植被指数NDVIGPP在生长季总体呈增加趋势(p < 0.01);植被盖度为以高覆盖率向最高覆盖率和中等覆盖率向高覆盖率转移为主。 (3)在不同土地利用/覆被类型下,NDVIGPP的迁移方向不同。最高和中等覆盖的重分别向东南移动1.69◦向西北迁移1.81◦

 

 

成果图表:

1 不同土地利用/覆被类型的面积变化:(a)农田,(b)森林,(c)草地。

2 (a)中国西南地区NDVI空间分布及(b) 2000-2019年不同土地利用类型的NDVI变化趋势

3 (a)不同土地利用/覆被类型的GPP年际变化;虚线为2000 - 2019年西南地区不同土地利用类型GPP变化趋势,(b)不同土地覆盖类型GPP值空间分布格局。

4 NDVIGPP重心的变化。(:(a-c): 2000 - 2019年耕地、森林和草地NDVI重心变化;(d-f) 2000 - 2019年耕地、森林和草地GPP重心变化。

5 不同NDVI等级及其GPP重心的变化。(:(a-e): 2000 - 20195NDVI等级重心变化;(f-j): 2000 - 20195NDVI等级GPP重心变化)

 

项目资助:本研究由“十四五”国家重点研发计划重点项目“典型脆弱生态系统保护与恢复”资助,项目编号“2022YFC080900”和喀斯特高原峡谷石漠化生态产业综合治理与规模管理技术与示范,项目编号“2016YFC0502603”,国家“十三五”重点研发计划项目资助。。

 

第一作者简介:李璇(1994- ),女,贵州桐梓人,必赢242net官网必赢242net官网2020级自然地理学专业硕士研究生,2022年研究生国家奖学金奖获者。参与导师多项科研课题,曾获研究生学业奖学金一等奖等荣誉。主要研究方向为喀斯特生态环境保护。目前在研期间取得代表性研究成果如下:

Xuan LiLi Rong *et al,Temporal Changes in Land Use,Vegetation, and Productivity in Southwest China. Land 2022, 11, 1331.

 

通讯作者简介:容丽,女,植物地理学、环境生态学方向,博士研究生学历,理学博士,中国植物学会、地理学会会员、贵州省植物学会理事。近年来主持完成纵向课题6项,包括国家自然科学基金面上项目(NO.90202003)等国家级课题2项,省部级课题4项。近年发表在《HYDROLOGICAL PROCESSES(SCI)等权威刊物上发表论文70余篇;出版专著2部。获第十届“贵州省青年科技奖”;贵州省科学技术奖二等奖等奖项。



【责任编辑】一审(校):吴沂晓;二审(校):杨砾;三审(校):范艺馨

上一条:研途榜样 2022年研究生国奖获得者科研成果展示(第4期)
下一条:研途榜样 2022年研究生国奖获得者科研成果展示(第2期)
关闭窗口